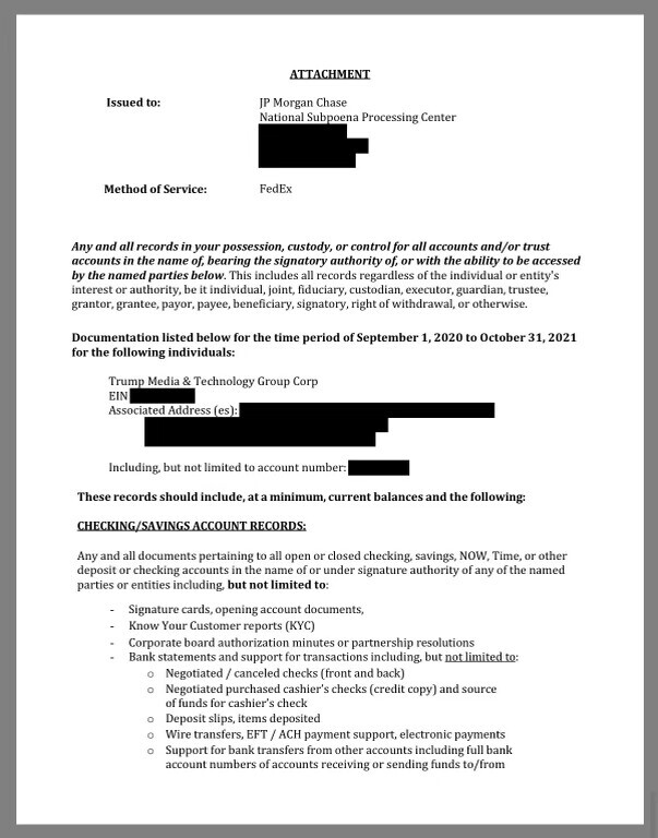
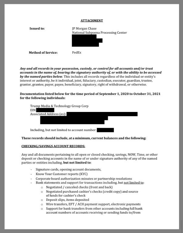
🚨🚨🚨🚨🚨🚨🚨🚨🚨🚨🚨🚨🚨🚨We discovered today from the Senate Judiciary Committee that Trump Media & Technology Group was among the more than 400 Trump-linked individuals and organizations that were spied on as part of Special Counsel Jack Smith's investigation of President Trump--specifically, the Smith team issued a shockingly broad, secret subpoena for our banking records. This is a stunning abuse of power against a private business and our hundreds of thousands of retail investors, especially since Trump Media did not even exist at the time of the events Jack Smith was supposedly investigating. We now need to know what the SEC and J.P. Morgan knew about this blatant malfeasance, when did they know it, and whether anyone leaked our bank records. https://truthsocial.com/@DevinNunes/115460265298566065
BREAKING: Iran released the military to attack the USA…
The Pentagon just added overtime hours. https://truthsocial.com/@Qanon76/116194789510611466
Based Christoph Waltz destroyed lefty argument 🔥 https://truthsocial.com/@Qanon76/116192277635300799
Worst of the worst for Oregon
These are who Oregon's sanctuary policies are protecting
Here's the link for the Oregon search and below the main worst of the worst.
https://www.dhs.gov/wow?combine=&field_country_of_origin_target_id=All&field_state_value=Oregon&page=0
https://www.dhs.gov/wow
⤵👍🏻👍🏻A Must Read
(Very Short)
From Andy Ngo
#CitizenJournalist
Who broke Portland Antifa story.
#CitizenJournalist
#SpotOn https://truthsocial.com/@JimTLapper/116036585165538825
@JimTLapper https://truthsocial.com/group/american-patriot/statuses/116036613208327313
https://makeoregongreatagain.locals.com/upost/7278400/co-conspirators-are-not-being-ruled-out-there-have-also-been-rumors-of-future-terror-operations-pla